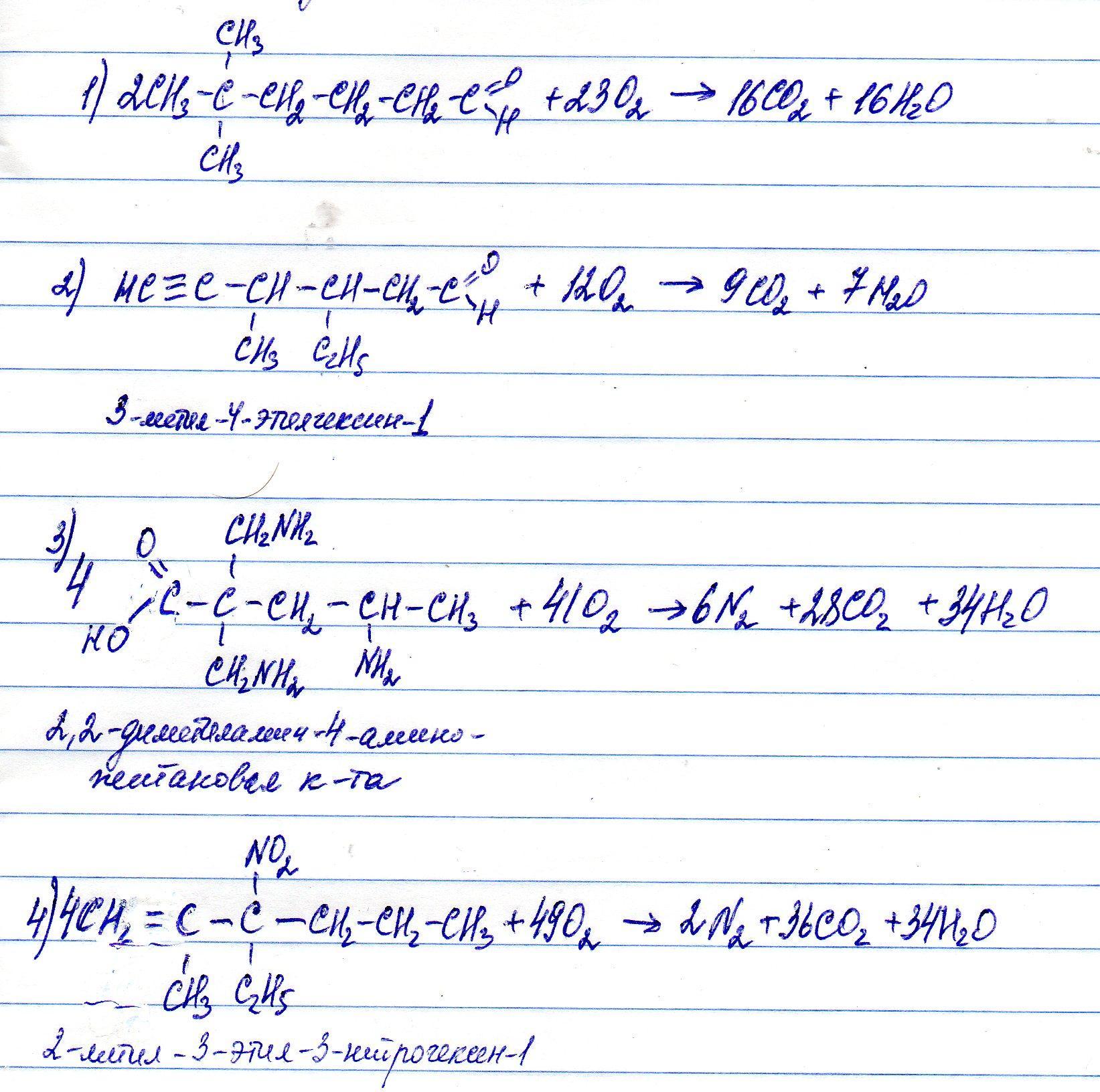
Составьте формулу и уравнение её горения:
1) 2,2 диметил-гексаналя
2) 3-метил-4-этил-гексин-1
3) 2,2-диметиламин-4-аминопентановая кислота
4) 2-метил-3-этил-3-нитрогексен-1
Ответы
Ответ дал:
0
Ответ:
Объяснение:
см. в приложении
Приложения:


Вас заинтересует
2 года назад
3 года назад
8 лет назад
8 лет назад
9 лет назад