Ответы
Ответ дал:
0
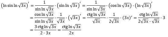
Несколько раз применяем правило производной сложной функции и готово.
Приложения:

Вас заинтересует
2 года назад
3 года назад
8 лет назад
8 лет назад
9 лет назад