• Предмет: Математика
  • Автор: Svyatoslav359
  • Вопрос задан 8 лет назад

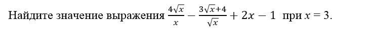
Добрый день. Помогите с задачкой.

Приложения:

Ответы

Ответ дал: skalinova03
0

Ответ:

2

Пошаговое объяснение:

Приведём к общему знаменателю:

frac{4sqrt{x} }{x} - frac{3sqrt{x}+4}{sqrt{x}} + 2x - 1 = frac{4sqrt{x}-3x-4sqrt{x}+2x^2-x}{x} = frac{2x^2-4x}{x} = 2x-4 (при x≠0)

Подставляем x=3: 2*3-4=6-4=2

Ответ дал: solving05
0

Ответ:

Пошаговое объяснение:

frac{4sqrt{x}}{x}-frac{3sqrt{x}+4}{sqrt{x}}+2x-1=frac{4sqrt{x}}{sqrt{x} sqrt{x} }-frac{3sqrt{x}}{sqrt{x}}-frac{4}{sqrt{x}}+2x-1=\=frac{4}{sqrt{x} }-3-frac{4}{sqrt{x}}+2x-1=2x-4; x=3;2x-4=6-4=2

Вас заинтересует