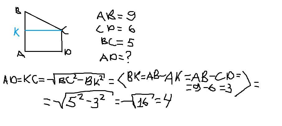
Перекладина длиной 5 м своими концами лежит на двух вертикальных столбах высотой 9 м и 6 м. Каково расстояние между основаниями столба? Помогите, срочно. Заранее спасибо))))
Ответы
Ответ дал:
0
Ответ:
Пошаговое объяснение:
решение в приложении
Приложения:

Вас заинтересует
2 года назад
3 года назад
3 года назад
8 лет назад
9 лет назад