Ответы
Ответ дал:
0
Ответ:
Объяснение:
Если нигде не ошибся)))
Приложения:

Ответ дал:
0
ⁿ√aᵇ = a^(b/n)
a^n*a^m = a^(m+n)
(a^m)^n = a^(mn)
====================
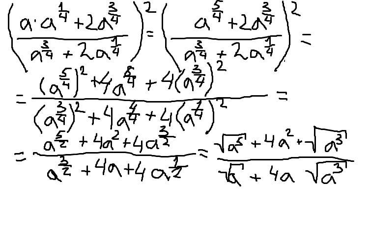
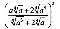
((a⁴√a + 2⁴√a³)(⁴√a³ + 2⁴√a))² = (( a^5/4 + 2a^3/4)/(a*3/4 + 2a^1/4))^2 =
= (a^3/4*(a^2/4 + 2)/(a^1/4(a^2/4 + 2))^2 = сокращаются a^1/2 + 2 = (a^3/4/a^1/4)^2 = (a*(3/4 - 1/4))^2 = (a^1/2)^2 = a
Приложения:

Вас заинтересует
2 года назад
8 лет назад
8 лет назад
9 лет назад