• Предмет: Математика
  • Автор: hoork
  • Вопрос задан 8 лет назад

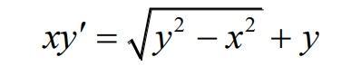
помогите решить дифференциальное уравнение (прикрепил скрин)

Заранее спасибо.

Приложения:

Ответы

Ответ дал: bel72777
0

Ответ:

Пошаговое объяснение:

xy'(x)=√(y(x)^2 -x^2) +y(x)

x•dy(x)/dx=√(-x^2 +y(x)^2) +y(x)

Возьмем y(x)=xv(x), тогда:

dy(x)/dx=x•dv(x)/dx +v(x)

x(x•dv(x)/dx +v(x)=√(-x^2 +x^2 •v(x)^2) +xv(x)

x(x•dv(x)/dx +v(x)=x(√(v(x)^2 -1) +v(x))

Находим для:

dv(x)/dx=(√(v(x)^2 -1))/x

Делим обе стороны на числитель правой стороны:

(dv(x)/dx)/√(v(x)^2 -1)=1/x

Теперь интегрируем обе стороны по отношению к х:

∫(dv(x)/dx)/√(v(x)^2 -1) •dx=∫1/x •dx

log(√(v(x)^2 -1) +v(x))=log(x)+c, где с - произвольная константа

Находим для:

v(x)=(e^-с +e^c •x^2)/2x

Упрощаем произвольные константы:

v(x)=1/2cx +cx/2

Вернемся к y(x)=xv(x) для подстановки:

y(x)=x(1/2cx +cx/2)

Упрощаем произвольные константы и получаем ответ:

y(x)=1/4c +cx^2

Вас заинтересует