• Предмет: Алгебра
  • Автор: ovruk333
  • Вопрос задан 8 лет назад

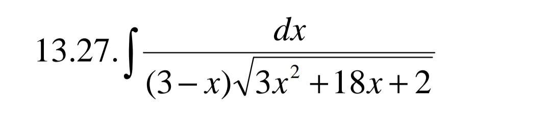
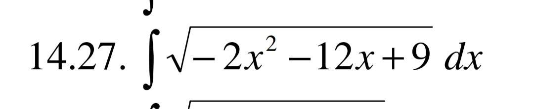
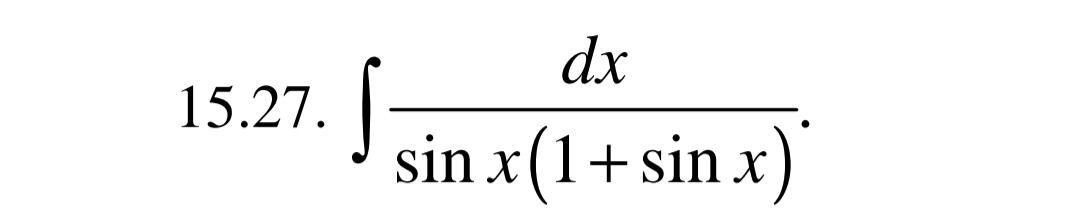
Помогите пожалуйста с решением интегралов, очень срочно!!!

За задание 98 баллов!!!

Приложения:

Ответы

Ответ дал: SultanovAskar
0

Ответ:

Задание 15.27

Объяснение:

По номерации смотрите в углу наверху номер поставил

Приложения:
Вас заинтересует