• Предмет: Математика
  • Автор: Svyatoslav359
  • Вопрос задан 8 лет назад

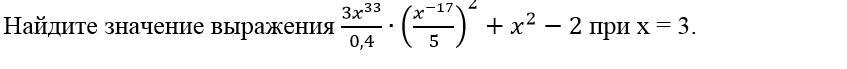
Здравствуйте. Помогите с задачкой.

Приложения:

Ответы

Ответ дал: Nikemmi
0

Ответ:

8,5

Пошаговое объяснение:

frac{3x^{33}}{0,4} * frac{x^{-34}}{5} +x^{2} -2\frac{3x^{-1}}{2}+x^{2} -2\\frac{3}{2x}+x^{2} -2 = frac{3}{2*3}+3^{2} -2 = 8,5

Вас заинтересует