• Предмет: Математика
  • Автор: littlemo3
  • Вопрос задан 8 лет назад

Ребят, решите пожалуйста дроби, и если можно распишите на бумаге решение.​

Приложения:

Ответы

Ответ дал: Аноним
0

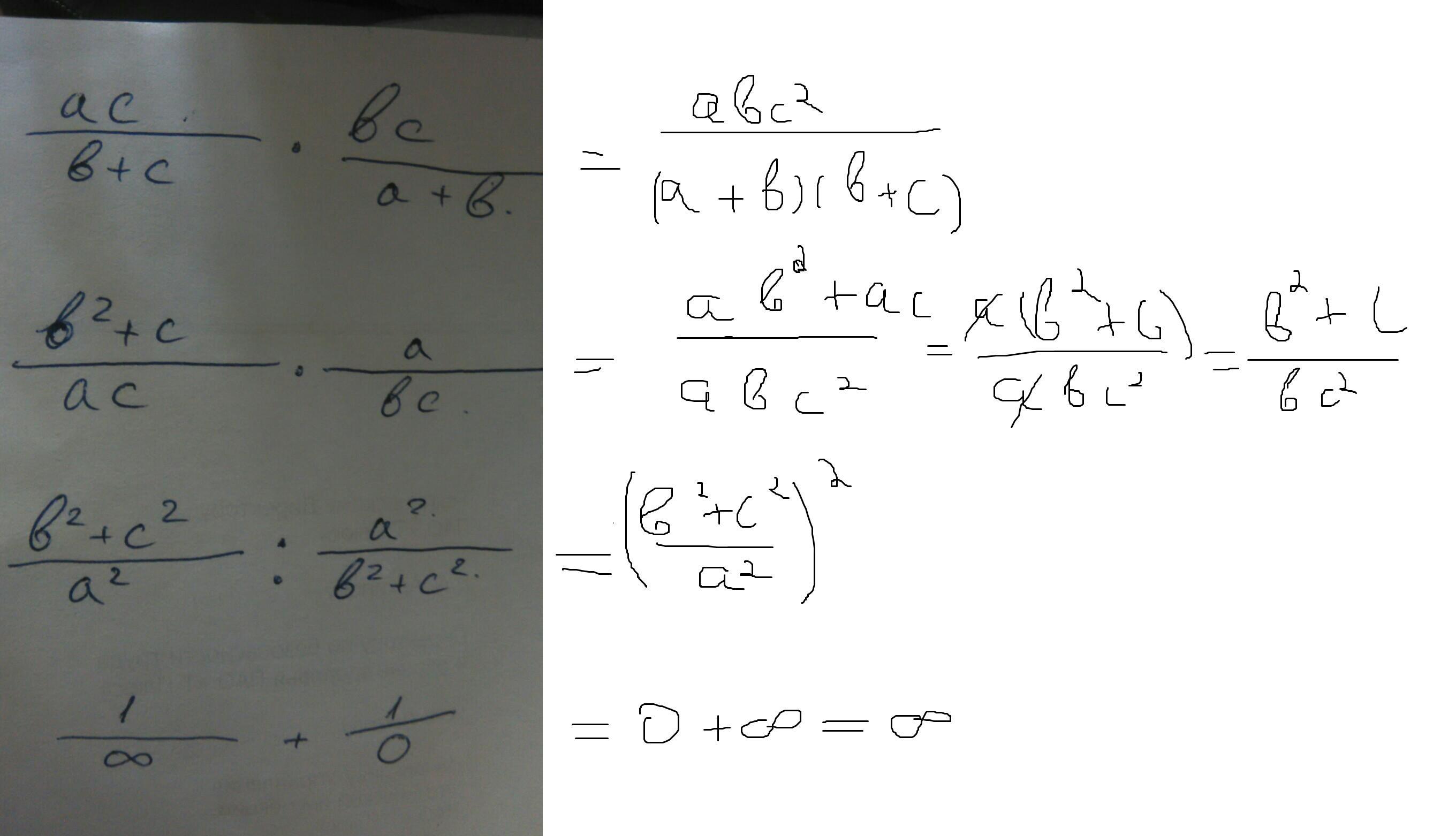
Ответ:

Пошаговое объяснение:

ВОТ

Приложения:
Вас заинтересует