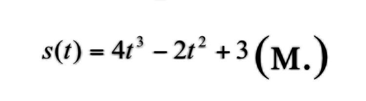
2. Тело вращается по закону см. фото внизу
Найти скорость и ускорение тела в момент времени 3 сек.
Приложения:

Ответы
Ответ дал:
0
S'(t) = V(t)
V'(t) = a(t)
(xⁿ)' = n * xⁿ⁻¹
c' = 0
S'(t) = V(t) = 12t²- 4t
V(3) = 12 * 9 - 4 * 3 = 108 - 12 = 96 м/c
V'(t) = a(t) = 24t - 4
a(3) = 24*3 - 4 = 72 - 4 = 68 м/c²
Вас заинтересует
2 года назад
3 года назад
3 года назад
8 лет назад
9 лет назад