Ответы
Ответ дал:
0
Ответ:
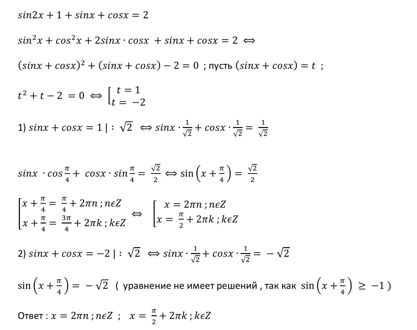
Объяснение: Решение : //////////////////////
Приложения:

Вас заинтересует
2 года назад
3 года назад
8 лет назад
8 лет назад