• Предмет: Алгебра
  • Автор: mishakuchac
  • Вопрос задан 8 лет назад

Допоможіть!!! Даю багато балів!!!

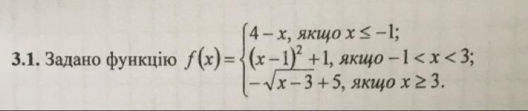
Приложения:

Ответы

Ответ дал: iiiiiiiiiiiiiiii
0

Ответ: 4-x ≤5

(x-1)^2+1<5

-√(x-3)  + 5≤5

Объяснение:

Ответ дал: Velmoga
0
Здравствуйте, вы разбираетесь в алгебре и геометрии 10-11 класса?
Вас заинтересует