manushe state 20442
y Soprane bapa nchini
СРОЧНО! ПОМОГИТЕ ОТВЕТИТЬ НА ВОПРОС ДО 18 ИЮНЯ!
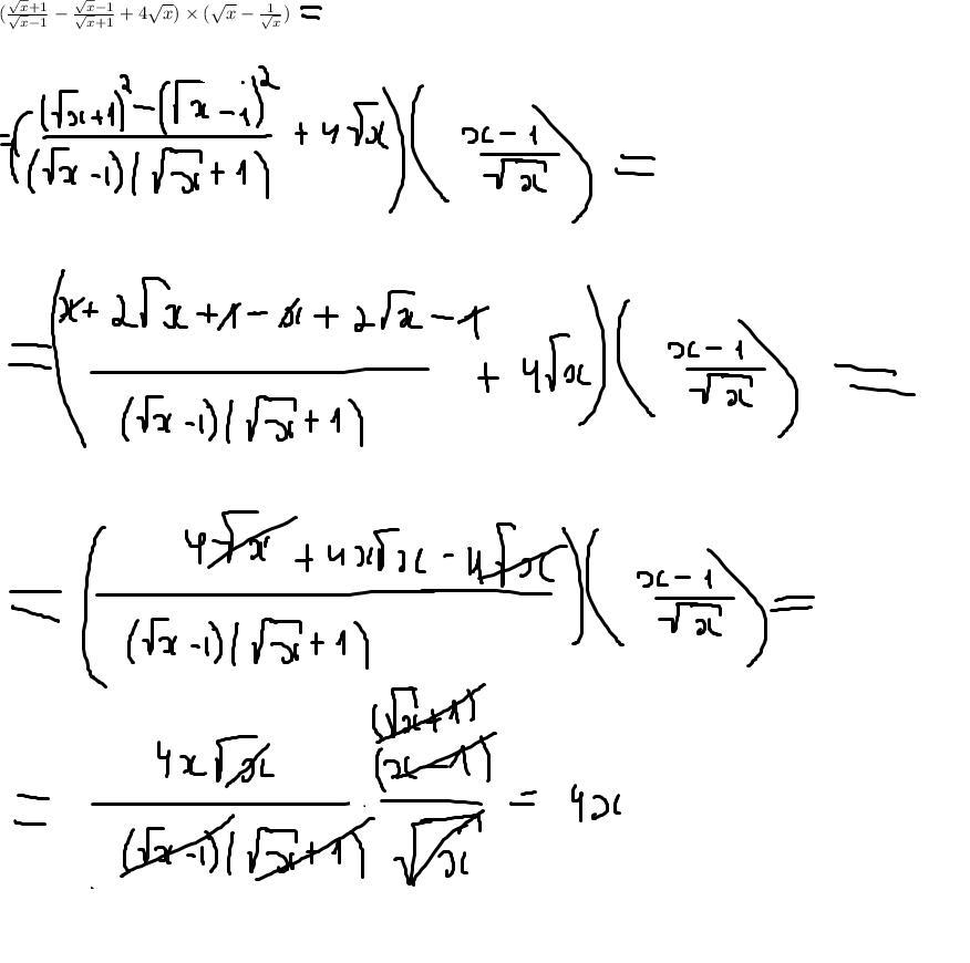
Упростите выражение:

Ответы
Ответ дал:
0
Ответ:
4x
Пошаговое объяснение:
вот
Приложения:

Вас заинтересует
2 года назад
3 года назад
8 лет назад
8 лет назад