• Предмет: Алгебра
  • Автор: Darkkat
  • Вопрос задан 8 лет назад

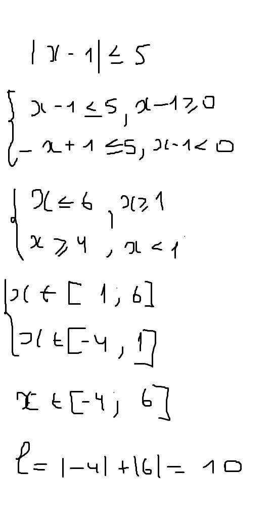
знайдіть довжину відрізка розвязків нерівності|x-1|≤5

Ответы

Ответ дал: Аноним
0

Ответ:

10

Объяснение:

вот

Приложения:
Вас заинтересует