Ответы
Ответ дал:
0
Ответ:
Пошаговое объяснение:
вот
Приложения:

Ответ дал:
0
надеюсь это правильно и дай бог тебе здоровьичка !!
Ответ дал:
0
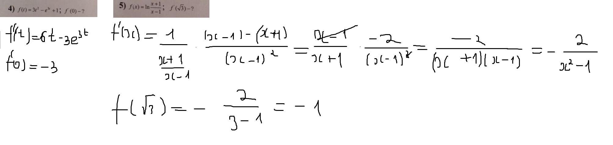
4) Производная равна 6t-3e³*здесь 3e³*- это три е в степени три t
производная в точке 0 равна 6*0-3е⁰=-3
5) Производная равна ((х-1)/(х+1))*((1*(х-1)-1*((х+1))/(х-1)²)=-2*(х-1)/(х-1)²(х+1)=
-2(х²-1); При х=√3 имеем -2/(3-1)=-2/2=-1
Приложения:

Вас заинтересует
3 года назад
3 года назад
8 лет назад
8 лет назад
9 лет назад