• Предмет: Геометрия
  • Автор: nkohska255075
  • Вопрос задан 8 лет назад

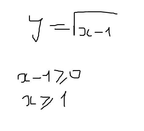
Найдите область определения функции y=√x-1

Ответы

Ответ дал: Аноним
0

Ответ:

Объяснение:

вот

Приложения:
Ответ дал: WhatYouNeed
0

y=sqrt{x-1}\D(x):x-1ge 0Rightarrow xge 1\Otvet:xin [1;+infty).

Приложения:
Вас заинтересует