Очень прошу, срочно пожалуйста.
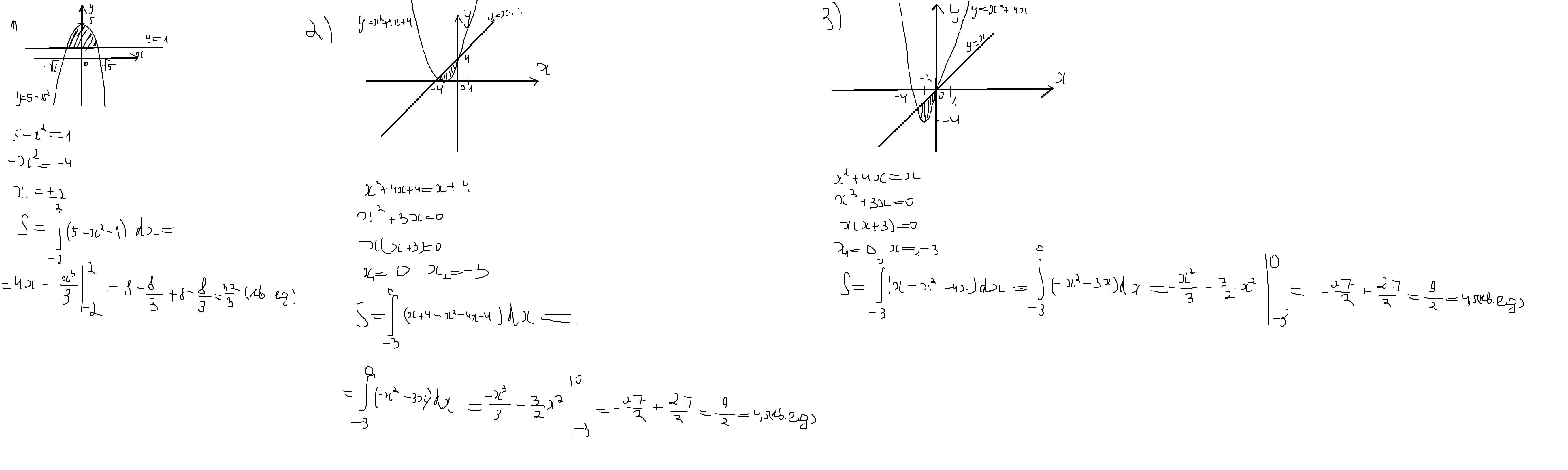
Найдите площадь фигуры, ограниченной линиями
1) у=5-х², у=1;
2) у=х²+4х+4, у=х+4;
3) у=х²+4х, у=х, у=0
Пожалуйста вместе с графиками.
Ответы
Ответ дал:
0
Ответ:
Объяснение:
вот
Приложения:

Вас заинтересует
2 года назад
2 года назад
3 года назад
3 года назад
8 лет назад
8 лет назад
9 лет назад
9 лет назад