• Предмет: Математика
  • Автор: marinadanilova
  • Вопрос задан 8 лет назад

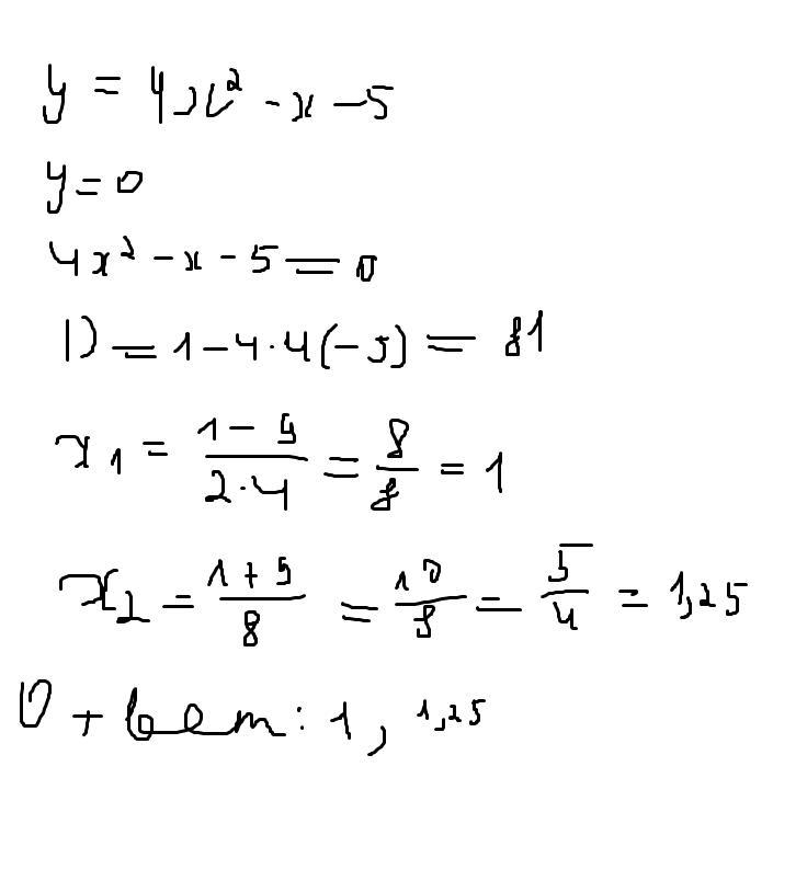
Найдите нули функции y=4x^2-x-5

Ответы

Ответ дал: Аноним
0

Ответ:

Пошаговое объяснение:

вот

Приложения:
Вас заинтересует