• Предмет: Математика
  • Автор: poka13
  • Вопрос задан 8 лет назад

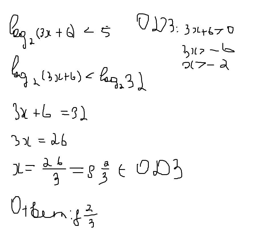
log2(3x+6)<5 неравенство ​

Ответы

Ответ дал: Аноним
0

Ответ:

Пошаговое объяснение:

вот

Приложения:
Вас заинтересует