Ответы
Ответ дал:
0
Ответ:
1) Находим точки пересечения функций у=4-х² и у=2-х
4-х²=2-х
х²-х-2=0
х₁*х₂=-2
х₁+х₂=1 => x₁=2; x₂=-1
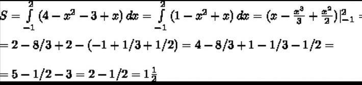
2) Находим площадь фигуры, заключённой между графиками функций
у=4-х² и у=2-х
Приложения:

Вас заинтересует
2 года назад
3 года назад
8 лет назад
8 лет назад
9 лет назад
9 лет назад