Ответы
Ответ дал:
0
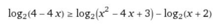
Ответ:х€[-1;1)
Объяснение:
Приложения:

Ответ дал:
0
Спасибо за решение! Подскажите, почему нельзя было идти так: log2 (4-4x) >=log2 ((x^2-4x+3)/(x+2))
Ответ дал:
0
Почему нельзя? Можно и так
Ответ дал:
0
У меня получился неправильный ответ из-за этого
Ответ дал:
0
http://prntscr.com/o16iyj
Вас заинтересует
2 года назад
3 года назад
8 лет назад
8 лет назад
9 лет назад
9 лет назад