Решите, пожалуйста
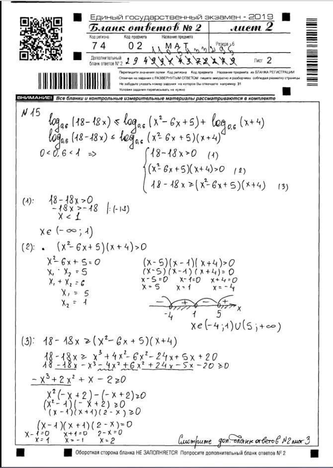
log0,6(18-18x)《log0.6(x²-6x+5)+log0.6(x+4)
Ооочень срочно, пожалуйста


Ответы
log(0,6) (18 - 18x) <= log (0,6) (x^2 -6x + 5) + log (0,6) (x+4)
log(a) b ОДЗ a>0 b>0 a≠1
итак ищем ОДЗ тело логарифма больше 0
1. 18 - 18x > 0 x < 1
2. x^2 - 6x + 5 > 0
D = 36 - 20 = 16
x12=(6+-4)/2=5 1
(х - 1)(х - 5) > 0
x∈ (-∞ 1) U (5 +∞)
3. x + 4 > 0 x > -4
ОДЗ x∈(-4 1)
так как основание логарифма меньше 1, поэтому знак меняется на >= c <= (противоположный)
18 - 18x ≥ (x^2 - 6x + 5)(x + 4)
18(1 - x) ≥ (x - 1)(x - 5)(x + 4)
18(x - 1) + (x - 1)(x - 5)(x + 4) ≤ 0
(x - 1)(x² - x - 20 + 18) ≤ 0
D = 1 + 8 = 9
x12=(1+-3)/2 = 2 -1
(x - 1)(x - 2)(x + 1) ≤ 0
применяем метод интервалов
-------------------[-1] +++++++++[1] --------------[2] ++++++++++
x ∈(-∞ -1] U [1 2] пересекаем с ОДЗ x∈(-4 1)
Ответ x∈(-4 -1]
=============================
Ответ правильный , решение правильное
ОДЗ неправильное
ОДЗ накладывается на каждый логарифм, потом их можно снимать и делать всякие действия