Ответы
Ответ дал:
0
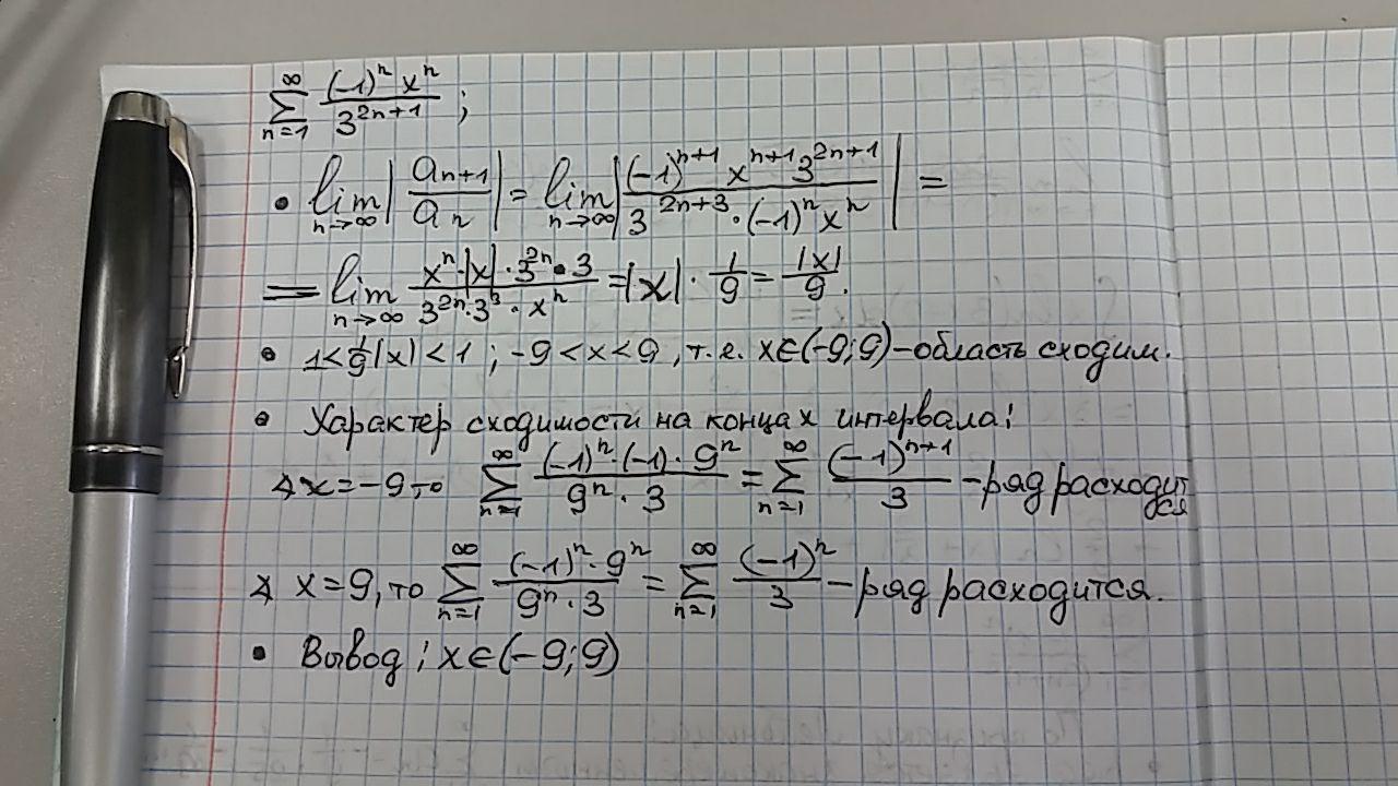
Посмотрите предложенное решение; оформление не соблюдалось.
Приложения:


Ответ дал:
0
при х=9 ряд сходится условно
Ответ дал:
0
при х на интервале (-9; 9) ряд сходится абсолютно
Ответ дал:
0
при х=9 - сходится по Чезаро))
Ответ дал:
0
Простите, при х=9 ряд не сходится условно, так как не выполняется необходимый признак сходимости))
Ответ дал:
0
Простите, а разве в выводе не то же самое, (-9;9)?
Вас заинтересует
2 года назад
2 года назад
3 года назад
8 лет назад
8 лет назад
9 лет назад