Ответы
Ответ дал:
0
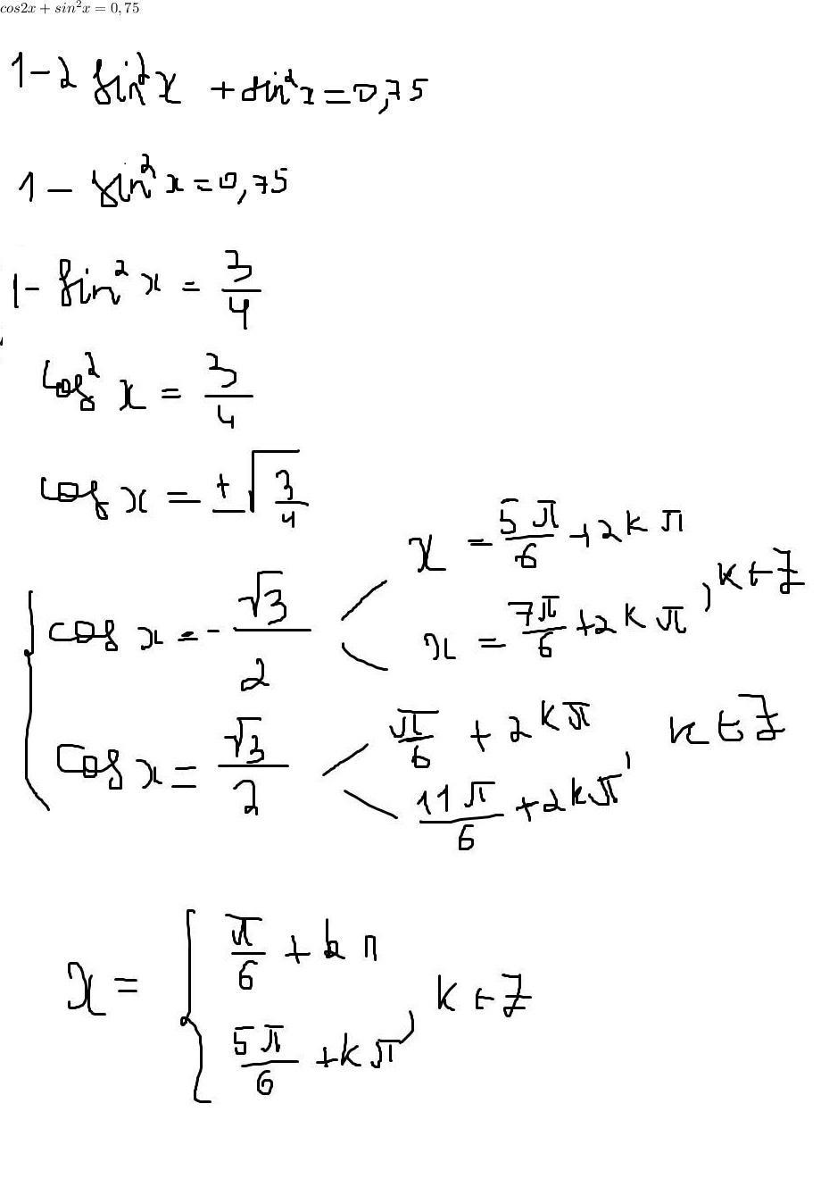
Воспользуемся формулой связи косинуса двойного угла и синуса угла.
Ответ дал:
0
Ответ:
Объяснение:
вот
Приложения:

Вас заинтересует
2 года назад
2 года назад
3 года назад