Помогите решить это уравнение, запутался в формулах
вроде как разложил, получил формулу, но не понимаю как решить дальше
Приложения:
Ответы
Ответ дал:
0
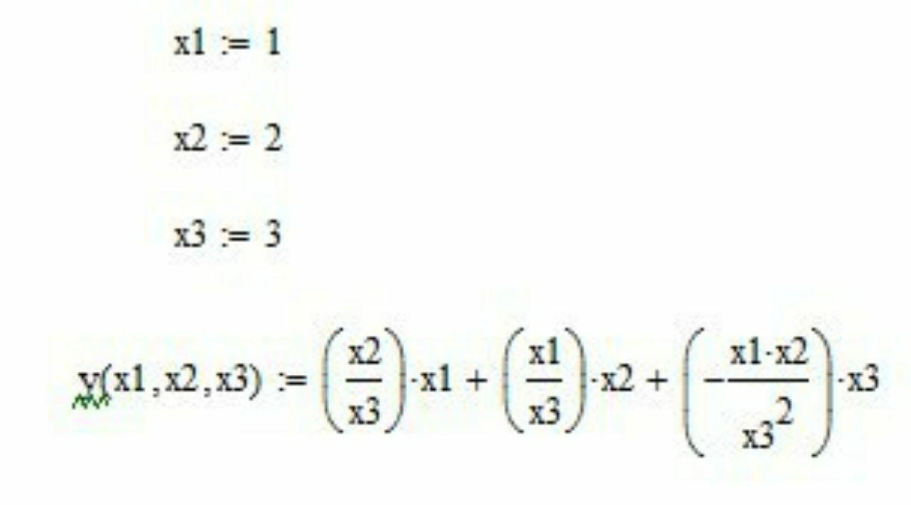
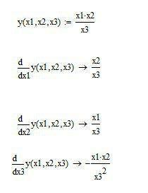
Значения ч.п. в заданной точке:
х2/х3=2/3, х1/х3=1/3, -х1*х2/х3²= -2/9, тогда полный дифференциал
dy=(2/3)*dx1+(1/3)*dx2-(2/9)*dx3
Вас заинтересует
2 года назад
2 года назад
3 года назад
3 года назад
9 лет назад
9 лет назад
10 лет назад
10 лет назад