Решите что сможете (Определенный интеграл, дифференциальное уравнение)
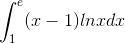
1. Вычислить определенный интеграл (на картинке)
2.Найти решение дифференциального уравнения, удовлетворяющее заданным начальным условиям
, y(0)=1
3. Найти общее решение дифференциального уравнения a(x)y' + b(x)y = f(x) и частное решение, удовлетворяющее начальному условию y = y0 при x = x0
, y0=3 , x0=
Приложения:

Ответы
Ответ дал:
0
Ответ:
Пошаговое объяснение:
Приложения:



Вас заинтересует
3 года назад
3 года назад
9 лет назад