• Предмет: Математика
  • Автор: tima25082003
  • Вопрос задан 8 лет назад

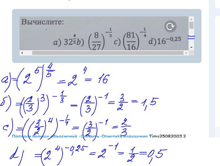
Помогите пожалуйста ​

Приложения:

Ответы

Ответ дал: vavdovina55
0

Ответ:

Пошаговое объяснение:

Приложения:
Вас заинтересует