• Предмет: Геометрия
  • Автор: Svyatoslav359
  • Вопрос задан 8 лет назад

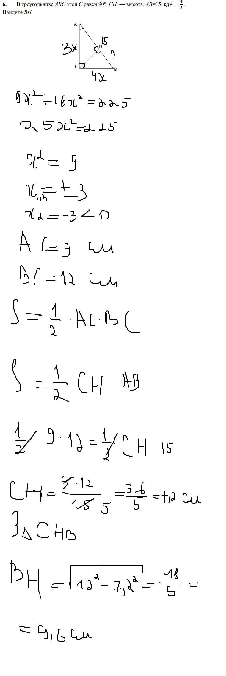
Добрый день. Помогите с задачкой.

Приложения:

Ответы

Ответ дал: Аноним
0

Ответ:

9,6

Объяснение:

вот

Приложения:
Ответ дал: valenivan
0

9.6. Решение задания приложено

Приложения:
Вас заинтересует