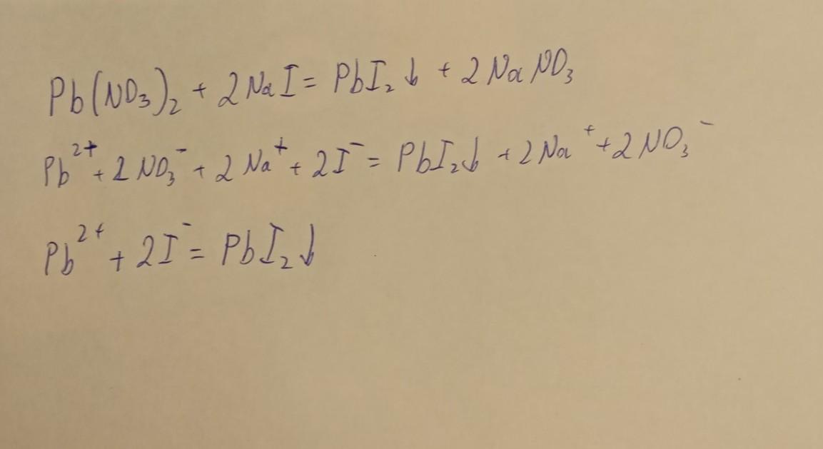
Складіть рівняння реакції у молекулярній та йонній формах, що відповідають схемі:
Pb(N03)2+NaI⇒PbI2↓+NaN03
Ответы
Ответ дал:
0
На фото молекулярное, ионное и сокращённое ионное уравнения
Приложения:
Вас заинтересует
2 года назад
2 года назад
3 года назад
3 года назад
9 лет назад
9 лет назад
10 лет назад
10 лет назад