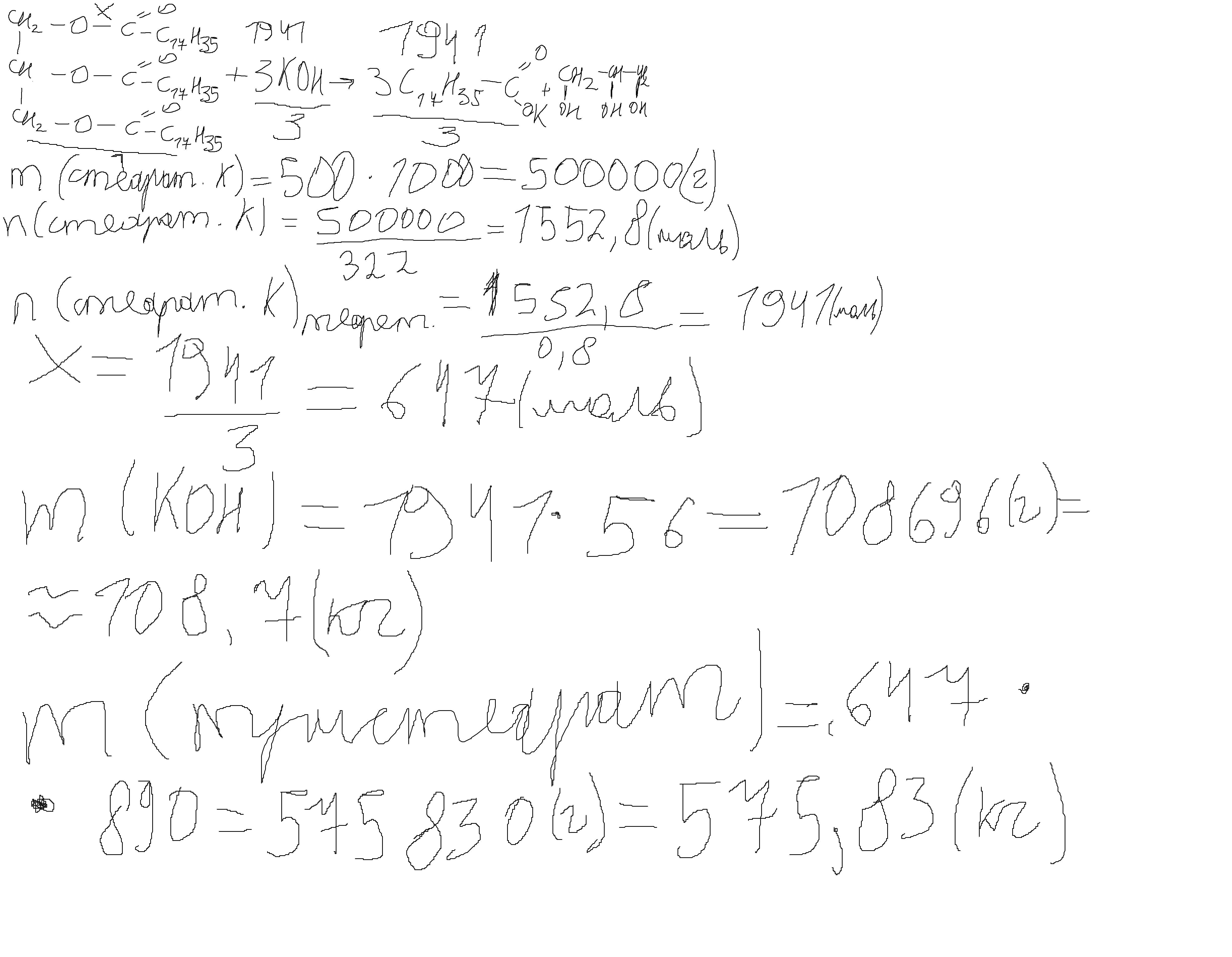
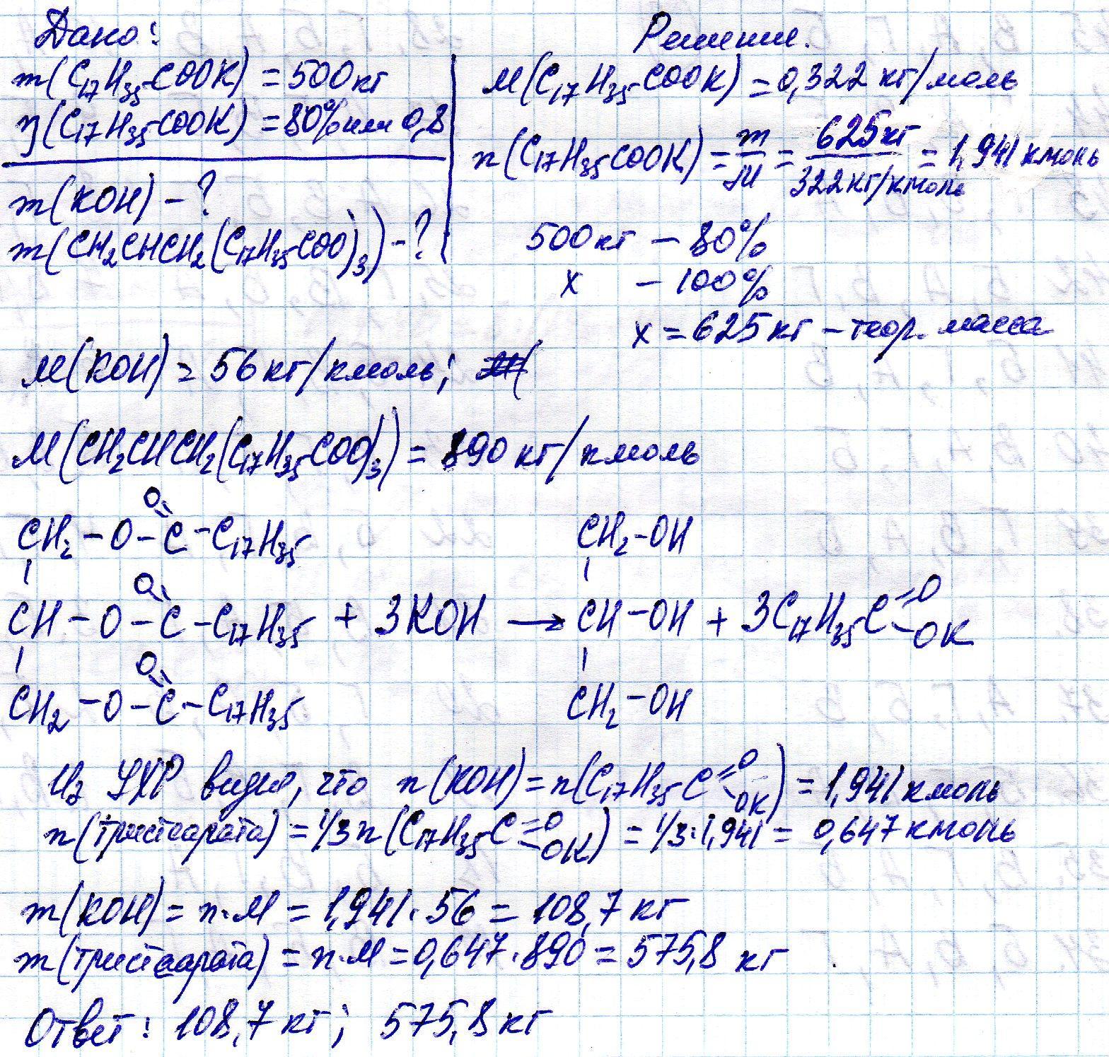
Стеарат калия - важный компонент жидкого мыла. Какая масса гидроксида калия и тристеарата потребуется для получения стеарата калия массой 500 кг , если выход продукта составляет 80% из-за производственных потерь ?
Ответы
Ответ дал:
0
Ответ:
ааааааааааааааааааааааааааааааааааааааааааааааааааа
Объяснение:
Приложения:

Ответ дал:
0
Ответ: 108,7 кг; 575,8 кг
Объяснение:
см. в приложении
Приложения:

Ответ дал:
0
Спасибо большое)
Вас заинтересует
2 года назад
2 года назад
3 года назад
3 года назад
8 лет назад
8 лет назад
9 лет назад