составьте уравнения касательная прямая к графику функции в данной точке
f(x)=2x^3-5x^2,x(нулевое)=0
Ответы
Ответ дал:
0
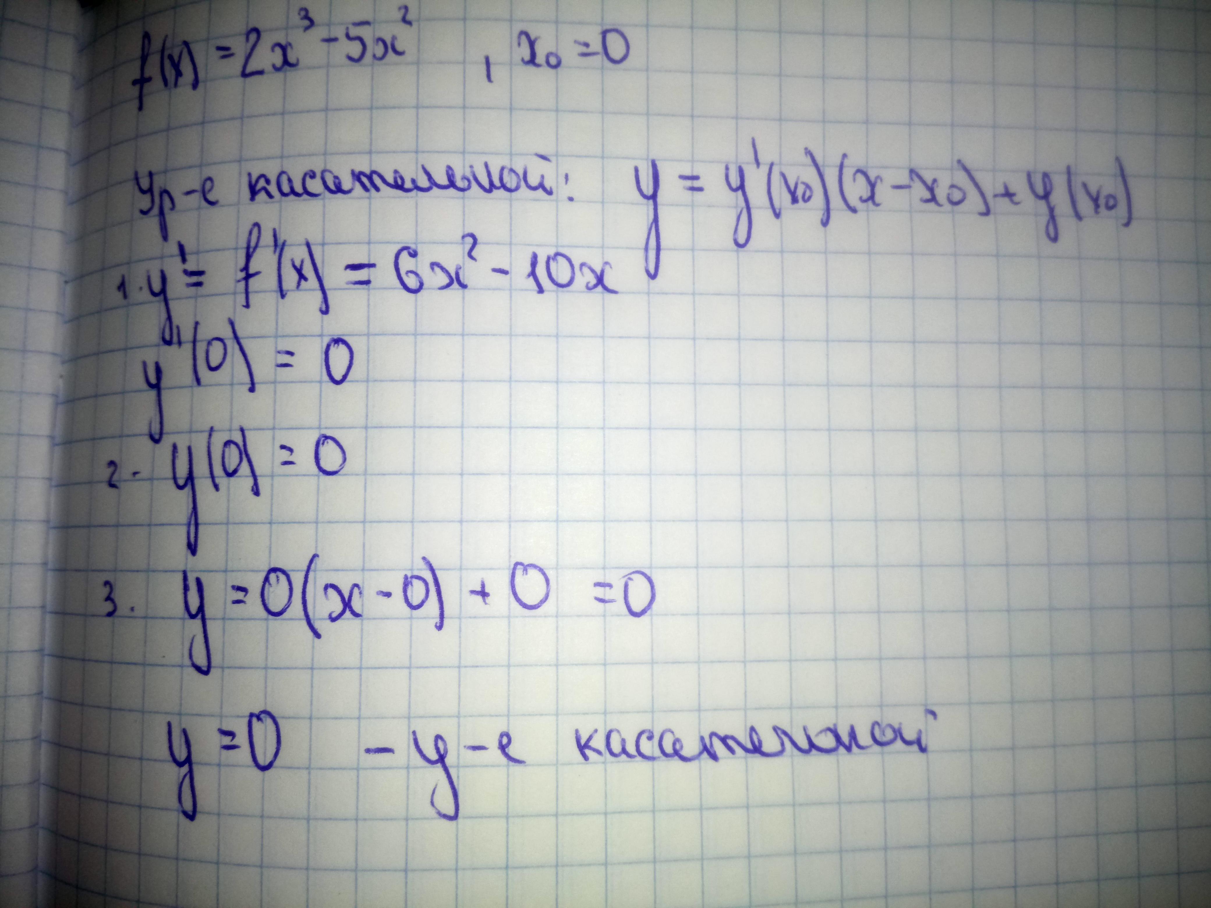
у=0, решение задания приложено
Приложения:

Ответ дал:
0
Ответ:
Пошаговое объяснение:
f(x)=2x^3-5x^2, xо=0
y=f(xо)+f'(xо)(x-xо), f(0)=0, f'=6x^2-10x, f'(0)=0, уравнение касательной
y=0
Приложения:

Вас заинтересует
2 года назад
2 года назад
3 года назад
3 года назад
8 лет назад
8 лет назад
9 лет назад