• Предмет: Математика
  • Автор: norchyyy
  • Вопрос задан 8 лет назад

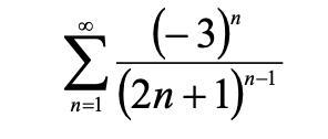
помогите на исследовать абсолютную или условную сходимость

Приложения:

Ответы

Ответ дал: HSS9860
0

Рассмотрите предложенное решение; оформление адаптируйте под свои требования.

Кратко ход:

1. По двум условиям признака Лейбница выяснить сходимость ряда (сходится).

2. По радикальному признаку Коши определить характер сходимости (условная, абсолютная), причём применять для знакоположительного ряда.

3. Вывод.

Приложения:
Вас заинтересует