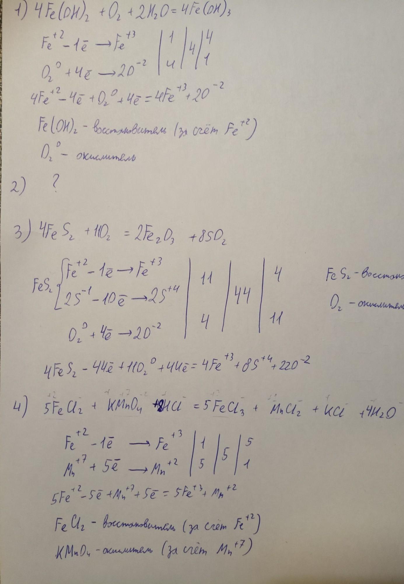
Подберите коэффициенты в схемах следующих реакций методомм электронного баланса,укажите,в каких реакциях соединения железа играют роль окислителей, в каких-восстановителей
1.Fe(OH)2 + O2 + H2O = Fe(OH)3
2.FeO + CO = FeO + CO2
3.FeS2 + O2 = Fe2O3 + SO2
4.FeCl2 + KMnO4 + HCl = FeCl3 + Mn Cl2 + KCl + H2O
Ответы
Ответ дал:
0
Все реакции кроме 2 представлены на фотографии.
Приложения:

Вас заинтересует
3 года назад
8 лет назад
9 лет назад