• Предмет: Математика
  • Автор: sdasdasd14
  • Вопрос задан 8 лет назад

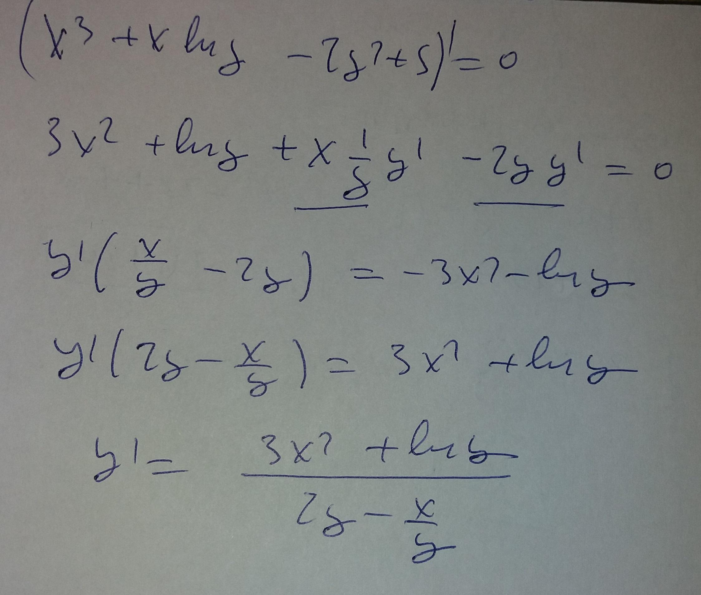
Найти производную функции: x^3+xlny-2y^2+5=0

Ответы

Ответ дал: bena20193
0

Ответ:

Пошаговое объяснение:

Приложения:
Вас заинтересует