• Предмет: Математика
  • Автор: tigrenochka
  • Вопрос задан 8 лет назад

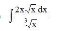
объясните пож-ста как решать этот пример....

Приложения:

Ответы

Ответ дал: NNNLLL54
0

int frac{2xsqrt{x}}{sqrt[3]{x}}, dx=2int frac{xcdot x^{1/2}}{x^{1/3}}, dx=2int x^{7/6}dx=2cdot frac{x^{13/6}}{13/6}+C=frac{12}{13}cdot sqrt[6]{x^{13}}+C

Ответ дал: takushnir
0

Вспомним, что √х=х¹/²;      1/∛х=1/x¹/³=x⁻¹/³;

∫xⁿdx=xⁿ⁺¹/(n+1); ∫cf(x)dx=c∫f(x)dx;

∫2x√x/∛xdx=2∫x*x¹/²*x⁻¹/³dx=2∫x¹⁺¹/²⁻¹/³dx=2∫x⁷/⁶dx=(2*х¹³/⁶)/(13/6)+с=

(12/13)х¹³/⁶+с, его можно подать в виде 12/13*икс в квадрате умноженный на корень шестой степени из икс плюс с, где с- константа.

Вас заинтересует