Ответы
Ответ дал:
0
Ответ:
x∈(-∞;-10)∪(4:+∞)
Объяснение:
1) при x> -3
x²+6x-4x-12-12>0
x²+2x-24>0
D= 4+96=100
x1= (-2+10)/2= 4
x2= (-2-10)/2= -6
(x-4)(x+6)>0
x∈(-∞;-6)∪(4;+∞)
1) x∈(4;+∞)
2) x<-3
x²+6x+4x+12-12>0
x²+10x>0
x(x+10)>0
x∈(-∞;-10)∪(0;+∞)
2) x∈(-∞;-10)
Ответ дал:
0
Ответ:
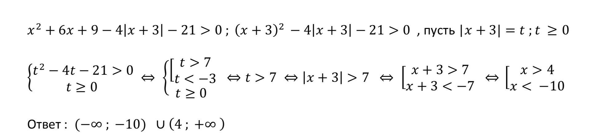
( -∞ ; -10 ) ∪ ( 4 ; +∞)
Объяснение:
Приложения:

Вас заинтересует
2 года назад
3 года назад
3 года назад
8 лет назад
8 лет назад
9 лет назад