Ребят,умоляю,пмогите,очень надо!)
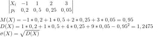
X=-1;1;2;3.
P=0,2;05;0,25;0,05.
Найти M(x),D(x),Q(x)
Построить многоугольник распределения
Ответы
Ответ дал:
0
Решение в приложении:
Многоугольник распределения строится как график по точкам с координатами (Xi;pi)
Приложения:
Вас заинтересует
2 года назад
2 года назад
3 года назад
3 года назад
9 лет назад
9 лет назад
10 лет назад
10 лет назад