Ответы
Ответ дал:
0
Ответ дал:
0
В условии смешанное число 2 целых одна третья. Почему между целой и дробной частью смешанной дроби вписан знак умножения? Описка?
Ответ дал:
0
да, я не заметил что можно смешанные числа в особой форме писать
Ответ дал:
0
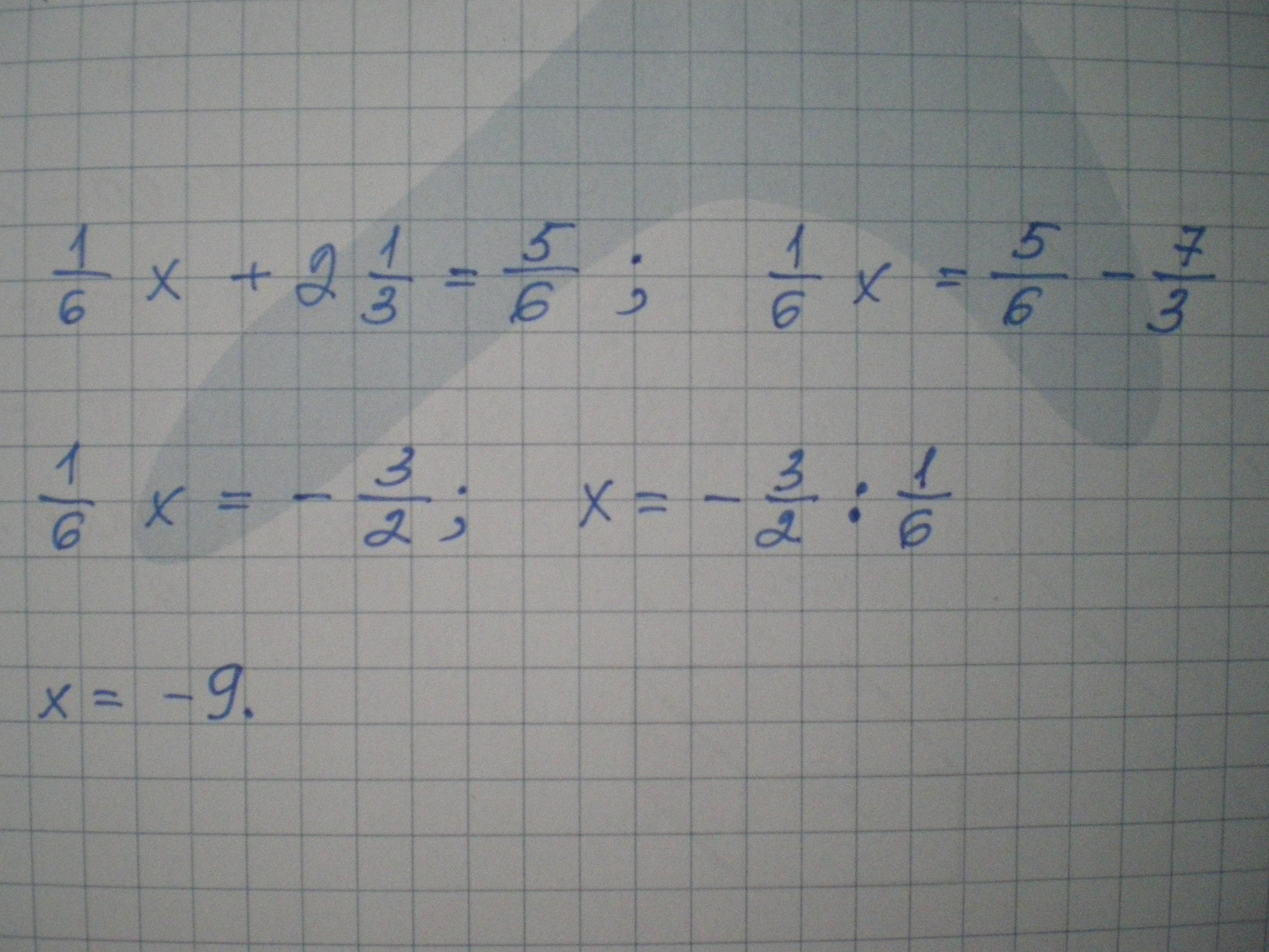
Ответ:
-9
Пошаговое объяснение:
Приложения:

Вас заинтересует
2 года назад
2 года назад
3 года назад
8 лет назад
8 лет назад
9 лет назад