Задание из 15 ЕГЭ, помогите ,пожалуйста! Думаю подать апелляцию (поставили 0 баллов)
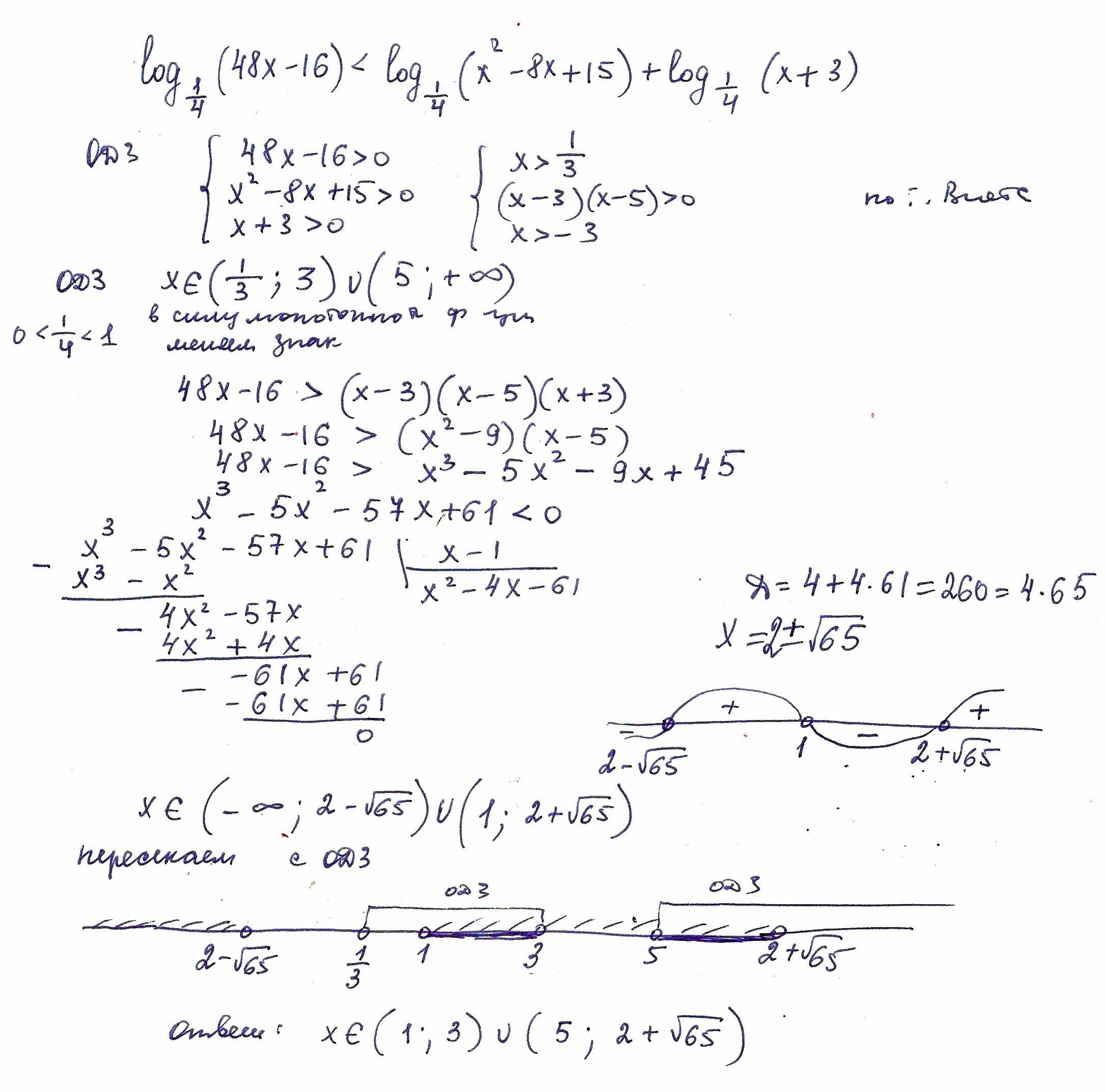
log1/4 (48x - 16) < log1/4 (x^2 - 8x + 15) + log1/4 (x + 3)
У меня получилось (-3; 1) u (1; 3)
Ответы
Ответ дал:
0
Ответ:
Пошаговое объяснение:
ответ на фото\\\\\\\\\\\\\\\\\\\\\
Приложения:

Вас заинтересует
2 года назад
2 года назад
3 года назад
3 года назад
8 лет назад
8 лет назад
9 лет назад