Мама готовит рис. Первый раз она готовила использовав 260 гр. риса и 330 мл. воды. Сколько потребуется воды, чтобы сварить 300 гр. риса?
Ответы
Ответ дал:
0
Ответ:
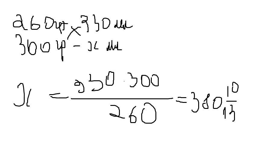
Пошаговое объяснение:
вот
Приложения:

Ответ дал:
0
осподи, что это?
Ответ дал:
0
это решение
Ответ дал:
0
Ответ:
370 мл...........................
Приложения:

Ответ дал:
0
а решение???
Ответ дал:
0
по твоей логике что бы сварить 0 гр риса нужно 70 мл воды...
Вас заинтересует
2 года назад
2 года назад
3 года назад
3 года назад
8 лет назад
9 лет назад