• Предмет: Математика
  • Автор: Аноним
  • Вопрос задан 8 лет назад

решите срочно со всеми подробностями​

Приложения:

Ответы

Ответ дал: iliamorozov99
0

Ответ:

1)0,325

Пошаговое объяснение:

1)Думаю, что объяснять не надо это 5-6 класс. Ответ:0,325.

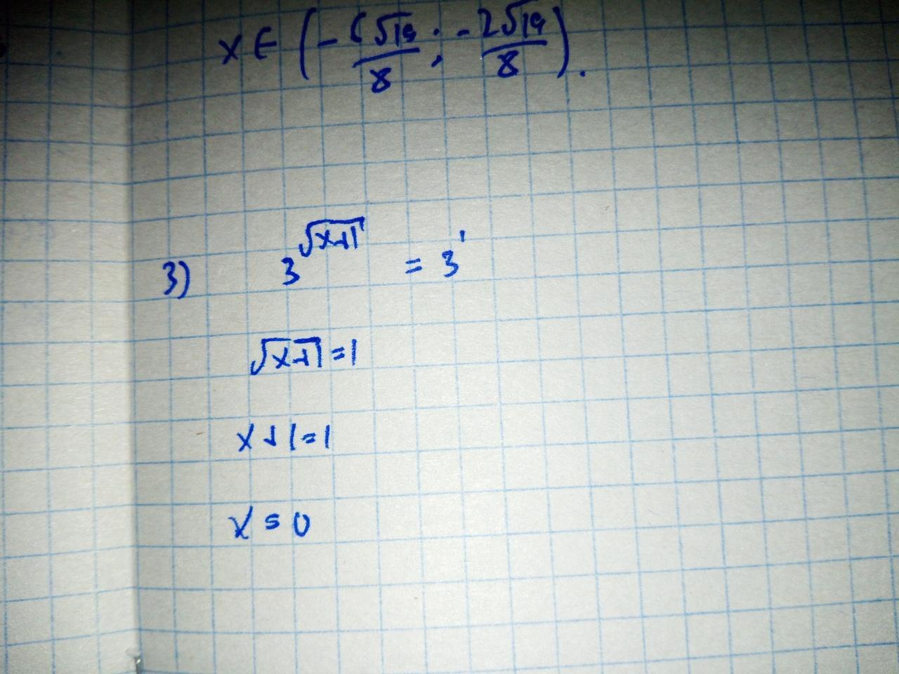
3)Нужно воспользоваться логарифмическим тождеством и решить показательное уравнение(решение 3 фотография). Тождество прикрепил к фотографиям.

Приложения:
Вас заинтересует