• Предмет: Математика
  • Автор: katherinest39
  • Вопрос задан 8 лет назад

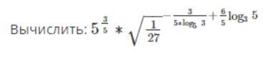
Помогите решить.
Ответы :
а) 1
б) 3
в) 2
г) 6

Приложения:

Ответы

Ответ дал: white407
0

Ответ: корень3 + 3

3 5log (3)

5

альетрнативный вид 1,45633

ответ а)

Пошаговое объяснение:

Вас заинтересует