• Предмет: Геометрия
  • Автор: kazakovaaelita
  • Вопрос задан 8 лет назад

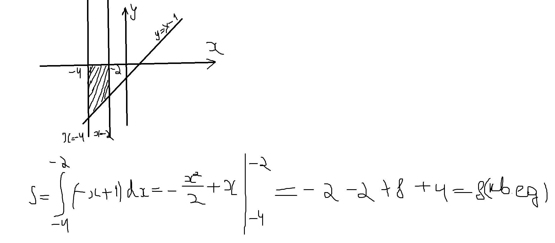
Вычислить площадь фигуры, ограниченной графиками функций y=x - 1, x= -4, x= -2​

Ответы

Ответ дал: Аноним
0

Ответ:

Объяснение:

вот

Приложения:
Вас заинтересует