• Предмет: Математика
  • Автор: w1vvv1w
  • Вопрос задан 8 лет назад

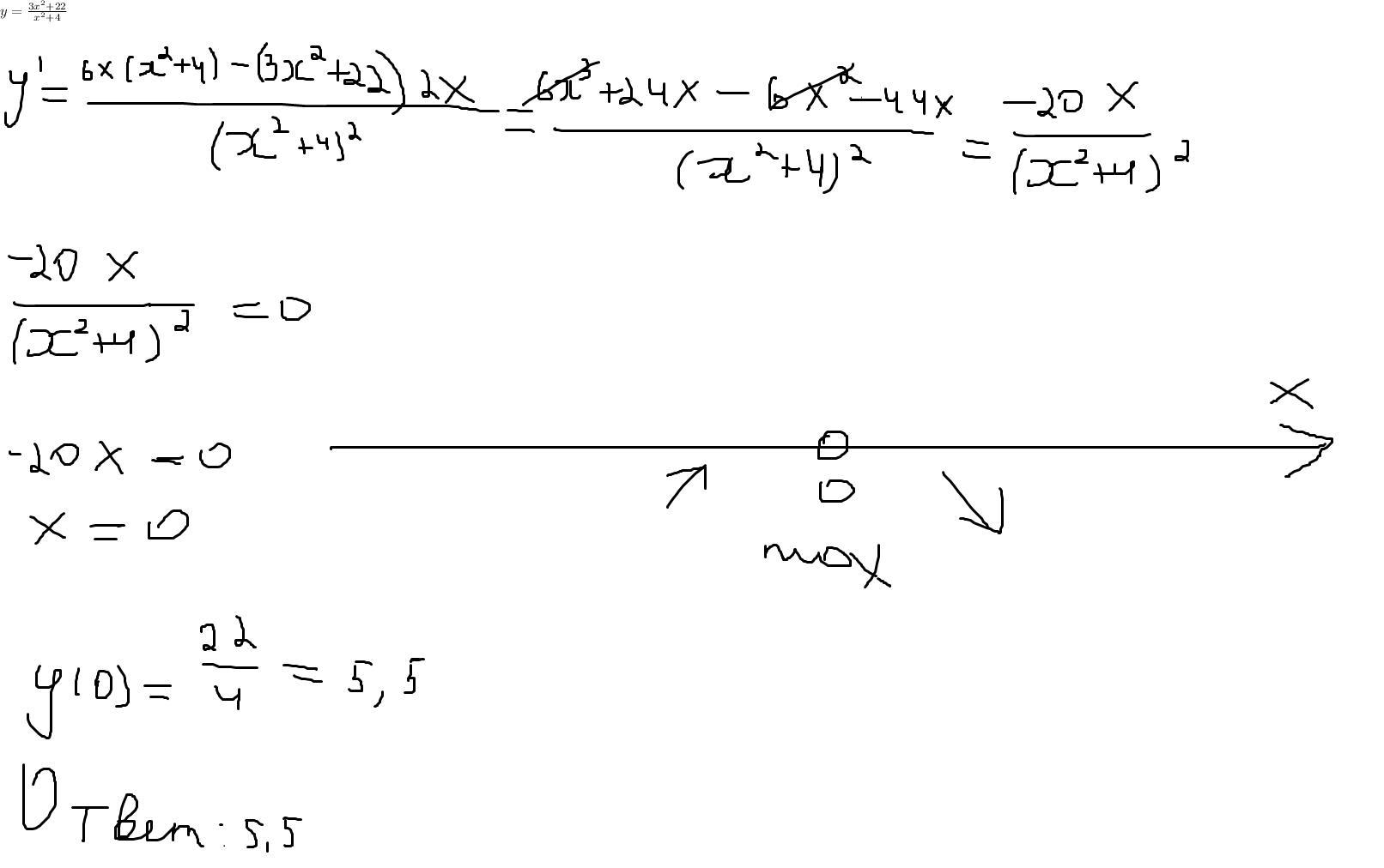
Найдите наибольшее значение функции y = frac{3x^{2}+22}{x^2+4}
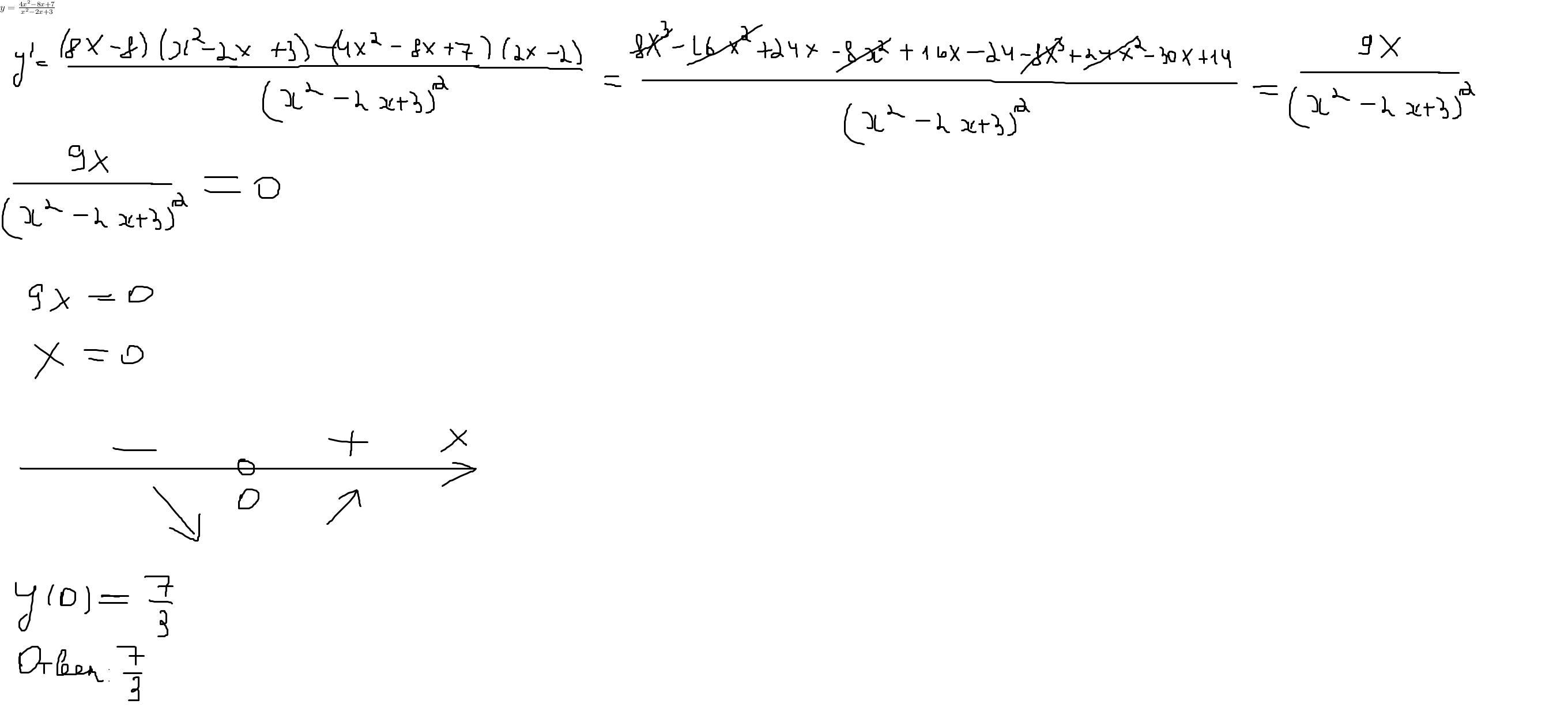
Найдите наименьшее значение функции y = frac{4x^2-8x+7}{x^2-2x+3}

Ответы

Ответ дал: Аноним
0

Ответ:

Пошаговое объяснение:

вот

Приложения:
Вас заинтересует