Ответы
Ответ дал:
0
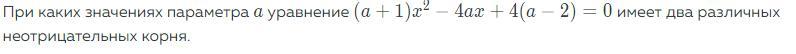
Решала на скорую руку надеюсь правильно
П.с.изменила 2ку надо включить
Приложения:

Вас заинтересует
2 года назад
3 года назад
3 года назад
9 лет назад