• Предмет: Математика
  • Автор: AlexandraHaminich
  • Вопрос задан 8 лет назад

область определения функции y=log0.3(x^2-6x+5)

Ответы

Ответ дал: Аноним
0

Ответ:

Пошаговое объяснение:

вот

Приложения:
Ответ дал: valenivan
0
Всё верно.
Ответ дал: takushnir
0

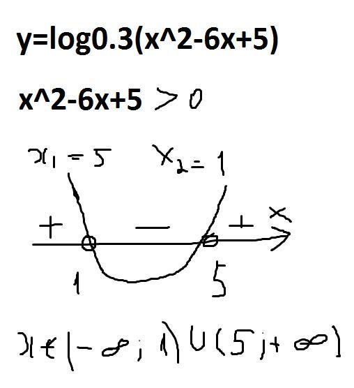
х²-6х+5>0>;Корни левой части по Виета 1 и 5, (х-1)(х-5)>0, Решим методом интервалов, разбив числовую ось на интервалы и выяснив знак на каждом из  них.

____1_________5______

 +           -                  +

Решением неравенства и будет область определения функции. т.е.

(-∞;1)∪(5;+∞)

Приложения:
Вас заинтересует