• Предмет: Математика
  • Автор: 0508199515masha
  • Вопрос задан 8 лет назад

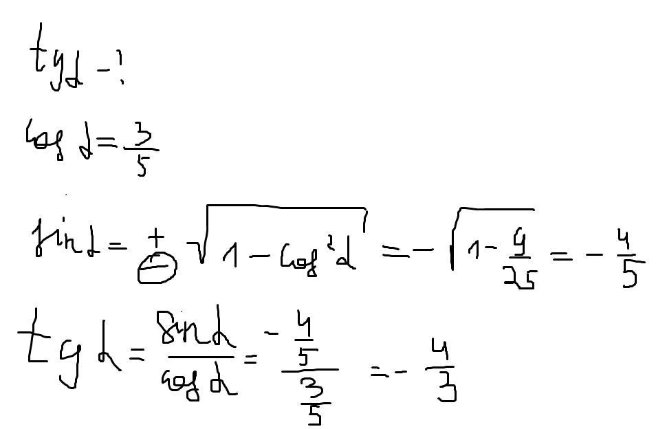
найдите значение выражения tg a ,если известно что cos a = 3/5и угол a находится во 4 четверти​

Ответы

Ответ дал: Аноним
0

Ответ:

Пошаговое объяснение:

вот

Приложения:
Вас заинтересует