• Предмет: Математика
  • Автор: sandreytop15
  • Вопрос задан 8 лет назад

Срочно!!! Вычислить определенный интеграл

Приложения:

Ответы

Ответ дал: juniorotabekpai8do
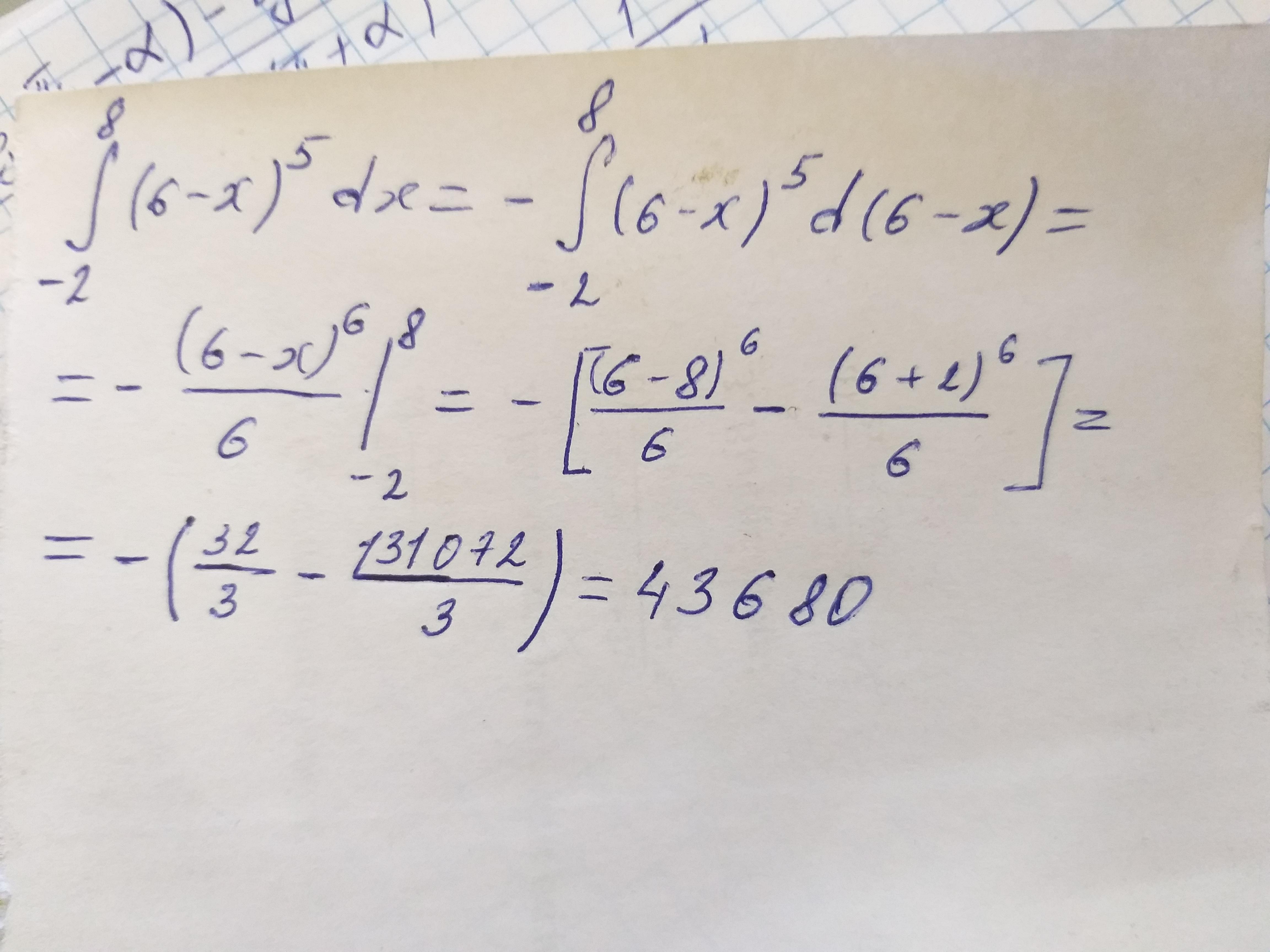
0

Ответ:

Ответ внизу на фото

Пошаговое объяснение:

Приложения:
Ответ дал: takushnir
0

∫(6-x)⁵dx=∫(6-x)⁵d(x -6)=-∫(x-6)⁵d(x -6)

Введем замену переменной х-6=у

Нижний предел будет у=-2-6=-8, верхний у=8-6=2

Найдем интеграл -∫у⁵dy=-y⁶/6  от -8 до 2     и подставим пределы интегрирования  , воспользовавшись формулой Ньютона - Лейбница.

-2⁶/6-(-(-8)⁶/6))=-2⁶/6+8⁶/6=(262144-64)/6=262080/6=131040/3=

43680

Приложения:
Вас заинтересует