• Предмет: Математика
  • Автор: Dmitriy114
  • Вопрос задан 8 лет назад

найдите площадь криволинейной фигуры ограниченной линиями y=x^2, y=3​

Ответы

Ответ дал: juniorotabekpai8do
0

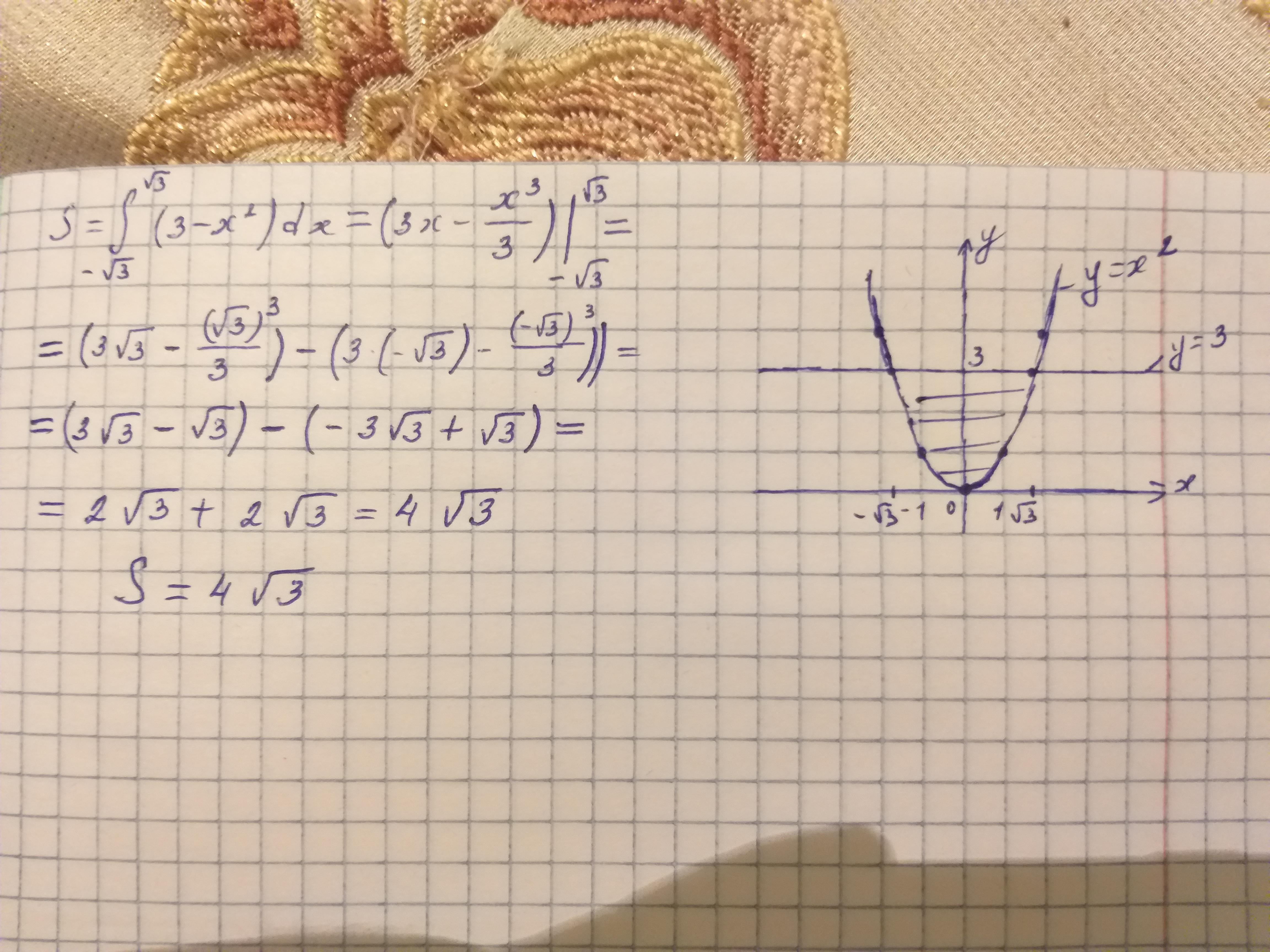
Ответ:

Ответ внизу на фото

Пошаговое объяснение:

Приложения:
Ответ дал: takushnir
0

х²=3, откуда х=±√3- пределы интегрирования, найдем определенный интеграл от -√3 до √3 от разности (3-х²), применим к нему формулу Ньютона - Лейбница, получим ответ.

Т.е. в выражение (3х-х³/3) подставляем верхний и нижний пределы интегрирования, 3*√3-(√3)³/3-(-3√3+(√3)³/3)=3*√3-√3+3√3-√3=4√3

Ответ 4√3

Приложения:
Вас заинтересует