• Предмет: Математика
  • Автор: julija1990
  • Вопрос задан 8 лет назад

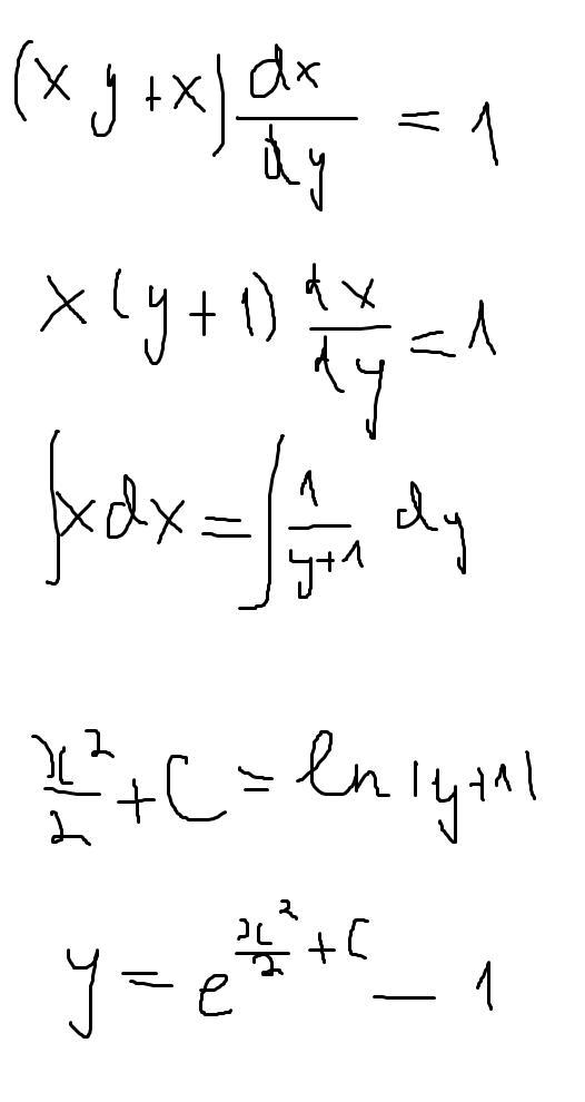
решить дифференциальное уравнение первого порядка: (xy+x) (dx/dy) =1​

Ответы

Ответ дал: Аноним
0

Ответ:

Пошаговое объяснение:

вот

Приложения:
Ответ дал: Correlation
0

x(y+1)cdot dfrac{dx}{dy}=1 - уравнение с разделяющимися переменными.

xdx=dfrac{dy}{y+1}~~displaystyle Rightarrow~~~ int xdx=intdfrac{dy}{y+1}~~~Rightarrow~~~ dfrac{x^2}{2}+C=ln|y+1|\ \ y+1=e^big{frac{x^2}{2}+C}~~~Rightarrow~~~ boxed{y=Ce^big{frac{x^2}{2}}-1}

Приложения:
Вас заинтересует